Mohan could do well in his final examination because
Two solid bars are made up of two different materials. Both the bars have equal cross-sectional area and are subjected to the same amount of pull force. If the bars have elongation per unit length in the ratio of 3:5, then the ratio of modulus of elasticity of the two materials will be: दो ठोस छड़ें दो अलग-अलग पदार्थों से बनी होती हैं। दोनों छड़ों का अनुप्रस्थ काट क्षेत्रफल समान है और वे समान खिंचाव बल के अधीन हैं। यदि छड़ों की प्रति इकाई लंबाई में वृद्धि 3:5 के अनुपात में है, तो दोनों पदार्थों के प्रत्यास्थता के मापांक का अनुपात होगा:
Which region of Uttar Pradesh has been recently included into National Capital Region(NCR)?
Who was the chief guest of the Republic Day celebrations in January, 2023? जनवरी, 2023 में गणतंत्र दिवस समारोह के मुख्य अतिथि कौन थे?
निम्नलिखित कथनों पर विचार कीजिए : 1. अनिवासी भारतीय (एन.आर.आई.) भारत में रुपया लेखा और विदेशी मुद्रा लेखा दोनों नहीं रख सकते। 2. राष्ट्रीय महिला आयोग ने संस्तुति की है कि अनिवासी भारतीयों के विवाहों का पंजीकरण अनिवार्य कर दिया जाये। उपर्युक्त में से कौन-सा/से कथन सही है/हैं
Which of the following function is not performed by the drum switch in decorative lighting? सजावटी लाइटिंग में ड्रम स्विच द्वारा निम्नलिखित में से कौन-सा कार्य नहीं किया जाता है?
____ and water in the air react together to form carbonic acid. ____ और पानी, वायु की उपस्थिति में अभिक्रिया करके कार्बोनिक अम्ल बनाते हैं–
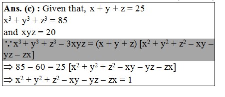
.
In the grade M20 has very few mixture of .........
Explanations:
Download our app to know more Lorem ipsum dolor sit amet consectetur adipisicing elit. Excepturi, esse.
Unlocking possibilities: Login required for a world of personalized experiences.