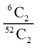
Q: If two cards are drawn simultaneously from a pack of well shuffled cards, then find the probability of both being kings. यदि अच्छी तरह से फेंटे गए ताश के गड्डी से दो पत्ते निकाले जाते है, तो दोनों के बादशाह होने की प्रायिकता ज्ञात करें।
A.
B.
C.
D.
Correct Answer:
Option A -
Explanations:
Download Our App
Download our app to know more Lorem ipsum dolor sit amet consectetur adipisicing elit.
Excepturi, esse.
YOU ARE NOT LOGIN
Unlocking possibilities: Login required for a world of personalized
experiences.