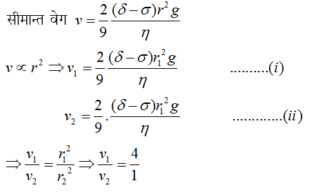
Q: If the ratio of the radii of two balls be 2:1, then the ratio of its terminal velocities will be यदि दो गेंदों की त्रिज्याओं का अनुपात 2:1 हो, तो उनके सीमान्त वेगों का अनुपात होगा
A.
1:4
B.
4:1
C.
1:2
D.
2:1
Correct Answer:
Option B -
Explanations:
Download Our App
Download our app to know more Lorem ipsum dolor sit amet consectetur adipisicing elit.
Excepturi, esse.
YOU ARE NOT LOGIN
Unlocking possibilities: Login required for a world of personalized
experiences.