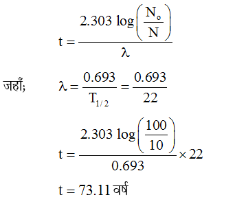
Q: If the half life of Radium D is 22 years then it will decrease to 10% in _______ years अगर रेडियम D की अर्द्धआयु 22 वर्ष है तब उसे 10% तक घटने में ________ वर्ष लगेंगे।
A.
29
B.
39
C.
73.11
D.
90
Correct Answer:
Option C -
Explanations:
Download Our App
Download our app to know more Lorem ipsum dolor sit amet consectetur adipisicing elit.
Excepturi, esse.
YOU ARE NOT LOGIN
Unlocking possibilities: Login required for a world of personalized
experiences.