.
What impact does human activities have on the environment?/मानव-क्रियाओं (human activities) का पर्यावरण पर क्या प्रभाव होता है?
शंघाई सहयोग संगठन शिखर सम्मेलन 2024 का आयोजन कहां किया जा रहा है?
किसी विद्यार्थी के पास एक ही प्रकार के पाँच रुपए के 10 सिक्के हैं। वह इन्हें एक के ऊपर एक करते हुए रखता है। ऐसा करने से क्या आकार प्राप्त होगा ?
Six friends B, D, F, H, J and L are sitting around a circular table facing towards the centre (not necessarily in the same order). B is to the immediate right of L. D is second to the left of J. F is second to the left of H. L is second to the right of H. Who is sitting third to the left of F?
900 X10⁶ J of energy is consumed in a month in a house. How much this energy is in the unit?
द ऑपरेशन ग्रीन परियोजना का उत्तर प्रदेश में शुभारम्भ हुआ था –
निम्न में से किस वाक्य में विशेषण का प्रयोग हुआ है?
The ratio of width and height in Gothic letters is :
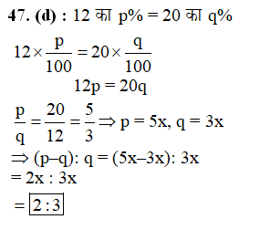
Explanations:
Download our app to know more Lorem ipsum dolor sit amet consectetur adipisicing elit. Excepturi, esse.
Unlocking possibilities: Login required for a world of personalized experiences.