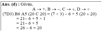
Q: If ‘A’ letter, ‘addition’ ‘B’ letter, ‘subtraction’ ‘C’ letter, ‘Division’ and ‘D’ letter, 'multiplication' then the value of (7 D 3) B 6 A 5 (20 C 20) ?
A.
B.
10
C.
22
D.
20
Correct Answer:
Option D -
Explanations:
Download Our App
Download our app to know more Lorem ipsum dolor sit amet consectetur adipisicing elit.
Excepturi, esse.
YOU ARE NOT LOGIN
Unlocking possibilities: Login required for a world of personalized
experiences.