बिहार के उद्योगों का कमिश्नर दफ्तर कहाँ स्थित है?
Read the passage and answer the questions by choosing the correct option for each. What type of a movement was the Bhoodan Yagna?
उत्तर प्रदेश के निम्न में से कौन सा क्षेत्र सर्वाधिक बाढ़ प्रभावित है?
निर्देश (प्रश्न संख्या H-9 से H-18 तक): निम्नलिखित अपठित गद्यांशों को ध्यानपूर्वक पढ़िए और दिए गए प्रश्नों के सही विकल्प चुनकर उत्तर-पत्रक में चिह्नित कीजिए। आदर्श व्यक्ति सद्कर्मों में आस्था रखता है। इसी में वह अपने जीवन की सार्थकता समझता है। उसके जीवन का प्रत्येक क्षण सद्कर्म में ही व्यतीत होता हैं विश्राम और विनोद के लिए उसके पास निश्चित समय रहता है। वह शेष समय समाज के उत्थान में लगाता है। उसके जीवन में आलस्य के लिए कोई स्थान नहीं होता। विपत्तियों में भी वह अपने चरित्र का सच्चा परिचय देता है। धैर्यरूपी कुदाल से वह बड़े-बड़े संकटरूपी पर्वतों को निर्मूल कर देता है। उसकी कार्यकुशलता देखकर लोग आश्यर्च विमूढ़ हो जाते हैं। वह परिस्थितियों का दास नहीं होता, परिस्थितियाँ उसकी दासी होती है। इस अर्थ में उसका चरित्र प्रशंसनीय होता है कि वह धैर्य से अपने सारे संकट दूर करता है। किस अर्थ में आदर्श व्यक्ति का चरित्र प्रशंसनीय होता है?
Select the correct option that indicates the arrangement of the following words in a logical and meaningful order. 1. Universe 2. Chennai 3. World 4. Asia 5. Tamil Nadu
As per IS 383:1970, the percentage of fine aggregates (FA) passing through 2.36 mm shall be in the range of ____for Zone II FA. IS 383 : 1970 के अनुसार, 2.36 मिमी. से गुजरने वाले महीन मिलावे (FA) का प्रतिशत, जोन II F.A. के लिए.........की सीमा में होगा।
एक नाव 7.2 km की दूरी धारा की दिशा में और 3.2 km की दूरी धारा के विपरीत दिशा में 2 घंटे में तय कर सकती है। यह 1.5 km की दूरी धारा की दिशा में और 0.6 km की दूरी धारा के विपरीत दिशा में 24 मिनट में तय कर सकती है। धारा की दिशा में जाते हुए नाव की गति (km/h में) क्या है?
Lalit's average earning per month in the first three months of a year was ₹4184. In April, his earning was 50% more than the average earning in the first three months. If his average earning per month for the whole year is 17553, then what will be Lalit's average earning (in ₹) per month from May to December? वर्ष के प्रथम तीन महीनों में ललित की प्रति माह औसत आय ₹4184 थी। अप्रैल में उसकी आय, प्रथम तीन महीनों की औसत आय से 50% अधिक थी। यदि पूरे वर्ष के लिए उसकी प्रति माह औसत आय ₹17553 है, तो मई से दिसंबर तक ललित की प्रति माह औसत आय (₹में) कितनी होगी?
टोपरा तथा मेरठ से दो अशोक स्तम्भ दिल्ली कौन लाया था?
The primary purpose of software is to turn data into: सॉफ्टवेयर का प्राथमिक उद्देश्य डाटा को में बदलना है:
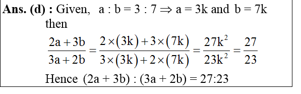
Explanations:
Download our app to know more Lorem ipsum dolor sit amet consectetur adipisicing elit. Excepturi, esse.
Unlocking possibilities: Login required for a world of personalized experiences.