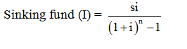
Q: Identify the correct relationship for annual sinking fund. Where, I = Annual sinking fund, S = Total amount of sinking fund invested on that i = Rate of interest n = number of years required to get 'S'
A.
B.
C.
D.
Correct Answer:
Option B -
Explanations:
Download Our App
Download our app to know more Lorem ipsum dolor sit amet consectetur adipisicing elit.
Excepturi, esse.
YOU ARE NOT LOGIN
Unlocking possibilities: Login required for a world of personalized
experiences.