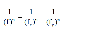
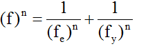
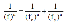
Q: IAs per IS: 800 – 1984, what is the correct expression of Merchant Rankine formula?/S 800-1984 के अनुसार, मर्चेंट रैंकिन सूत्र का सही अभिव्यक्ति क्या है?
A.
B.
C.
D.
Correct Answer:
Option A -
Explanations:
Download Our App
Download our app to know more Lorem ipsum dolor sit amet consectetur adipisicing elit.
Excepturi, esse.
YOU ARE NOT LOGIN
Unlocking possibilities: Login required for a world of personalized
experiences.