जड़ बुद्धि वाले बालक का IQ (बुद्धि लब्धि) कितना होता है?
Which of the following fits comes under the category of interference fit? इनमें से कौन सा फिट, इंटरफेरेंस फिट (interference fit) की श्रेणी में आता है?
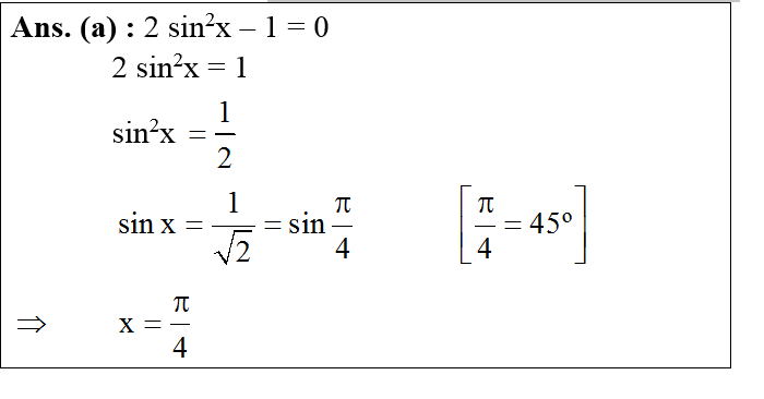
.
रहट, चरखे एवं आग्नेयास्त्रों का आविष्कार .......में हुआ था।
उत्तर प्रदेश के पंचायती राज विभाग द्वारा जारी नागरिक चार्टर को कितने विषयों में विभाजित किया गया है?
Select the most appropriate antonym of the given word. ARROGANCE
Directions: Read the poem given below and answer the questions that follow (Q.Nos. 245 to 250) by selecting the correct/most appropriate options: I think that I shall never see A poem lovely as a tree. A tree whose hungry mouth is prest Against the earth's sweet flowing breast; A tree that looks at God all day, and lifts her leafy arms to pray; A tree that may in Summer wear A nest of robins in her hair; Upon whose bosom snow has lain; Who intimately lives with rain. Poem are made by fools like me, But only God can make a tree. Name the figure of speech used in Iines 3 and 4.
An Assertion (A) and Reason (R) are given below. Assertion (A) : The Indian Constitution came into force on 26th January 1950. Reason (R) : 26th January is celebrated as Republic day. Choose the correct option-
भारतीय संविधान के किस अनुच्छेद के तहत भारत की राजभाषा हिंदी एवं लिपि देवनागरी है?
बुद्धि के लिए कौन-सा कथन सत्य नहीं है?
Explanations:
Download our app to know more Lorem ipsum dolor sit amet consectetur adipisicing elit. Excepturi, esse.
Unlocking possibilities: Login required for a world of personalized experiences.