Processed data is known as प्रोसेस्ड डेटा को...........के रूप में जाना जाता है।
Which of the following option is a example of half-duplex communication device. निम्नलिखित में से कौन सा विकल्प अर्द्ध द्वैध संचार उपकरण (हाफ-डुप्लेक्स कम्युनिकेशन डिवाइस) का उदाहरण है?
Which city is not a part of Sohagpur coalfield? कौन-सा शहर सोहागपुर कोयला क्षेत्र का भाग नहीं है?
Which of the following chemical element, Tetravalent Metalloids, is used to make an integrated circuit (IC) chip used in computers?
.
बुलेट नामक मोटर साइकिल का उत्पादक इनमें से कौन है?
‘सिंगर्स ऐट द बार’ चित्र किस प्रभाववादी कलाकार का है?
If the nine-digit number 9m2365n48 is completely divisible by 88, what is the value of (m² × n²), for the smallest value of n, where m and n are natural numbers?
Gautam Buddha's teachings are found mainly in : गौतम बुद्ध के उपदेश मुख्य रूप से कहाँ पाए जाते हैं ?
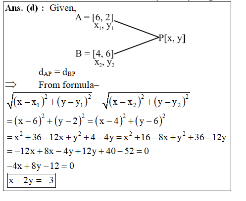
Explanations:
Download our app to know more Lorem ipsum dolor sit amet consectetur adipisicing elit. Excepturi, esse.
Unlocking possibilities: Login required for a world of personalized experiences.