फिरोजपुर झिरका उपमण्डल के तीनों ओर कौन सा प्रदेश है?
Hindustan Socialist Republican Association (HSRA) was founded in 1928 in which of the following cities? हिंदुस्तान सोशलिस्ट रिपब्लिकन एसोसिएशन (HSRA) की स्थापना 1928 में, निम्नलिखित में से किस शहर में की गई थी?
Which of the following number is/are divisible by 11, 13 and 7 ?
इनमें से एक वाक्य अशुद्ध है, वह है :
A और B एक साथ मिलकर किसी कार्य को 35 दिन में पूरा कर सकते हैं। A अकेले उसी कार्य को 60 दिन में पूरा कर सकता है। B को अकेले उसी कार्य को पूरा करने में कितने दिन का समय लगेगा?
Which of the following is not an input device?
In which district is the Potato Research Centre located in Uttar Pradesh? उत्तर प्रदेश में आलू का अनुसंधान केंद्र किस जिला में स्थित है?
NATRAX कहाँ स्थित है?
Among five vehicles, A, B, C, D and E, the mileage of D is more than B and C. A's mileage is less than B but more than C. E's mileage is more than A but less than B. Which vehicles's mileage is the highest among all five vehicles?
भारतीय संविधान की ग्यारहवीं अनुसूची में पंचायतों के लिए कुल कितने विषय निर्धारित किए गये है?
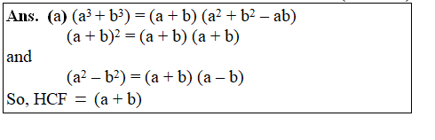
Explanations:
Download our app to know more Lorem ipsum dolor sit amet consectetur adipisicing elit. Excepturi, esse.
Unlocking possibilities: Login required for a world of personalized experiences.