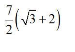
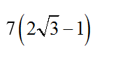
Q: एक टॉवर के शीर्ष पर 7 मी० लंबी एक छड़ ऊर्ध्वाधर रूप से स्थापित की गई है। भूमि पर एक बिंदु से छड़ के शीर्ष का अवलोकित किया गया उन्नयन कोण 60⁰ है और टॉवर के शीर्ष से भूमि पर उसी बिंदु का अवनमन कोण 45⁰ है। टॉवर की ऊँचाई (मी० में) कितनी है?
A.
B.
C.
D.
Correct Answer:
Option D -
Explanations:
Download Our App
Download our app to know more Lorem ipsum dolor sit amet consectetur adipisicing elit.
Excepturi, esse.
YOU ARE NOT LOGIN
Unlocking possibilities: Login required for a world of personalized
experiences.