निम्नलिखित में से किस एक से शिशु के अधिगम को सहायता नहीं मिलती?
छन्द पढ़ते समय आने वाले विराम को क्या कहते हैं?
Find the simple interest (in closest integral `) on ` 4000 at 5.25% per annum rate of interest for the period from 4 February 2024 to 5 April 2024 4फरवरी 2024 से 5 अप्रैल 2024 तक की अवधि के लिए 5.25% प्रति वर्ष ब्याज दर पर `4000 पर साधारण ब्याज निकटतम पूर्णांक ` में ज्ञात कीजिए।
पी/ई शेयर बाजार में सबसे चर्चित अनुपातों में से एक है। पी/ई क्या दर्शाता है _____?
राज्य वित्त आयोग की संरचना का निर्धारण कौन करता है?
Due to Lanthanide contraction लैन्थेनाइड संकुचन के कारण–
Which of the following options is not a function of Gram Panchayats?
उत्तर प्रदेश में, कोयले के भण्डार पाये जाते हैं-
Which of the following is transmitted by rodents? निम्नलिखित में से कौन सा विषाणु कृंतको द्वारा संक्रामित होता है?
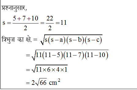
.
Explanations:
Download our app to know more Lorem ipsum dolor sit amet consectetur adipisicing elit. Excepturi, esse.
Unlocking possibilities: Login required for a world of personalized experiences.