Q: एक झंडा जिसकी ऊँचाई 4 मीटर है, एक इमारत की चोटी पर खड़ा हुआ है। बिंदु X से झंडे की चोटी का उन्नयन कोण 45⁰ है तथा से इमारत की चोटी का उन्नयन कोण 30⁰ है। बिंदु X जमीन की सतह पर है। इमारत की ऊँचाई (मीटर में) क्या है ?
A.
B.
C.
D.
Correct Answer:
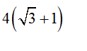
Option B -
Explanations:
Download Our App
Download our app to know more Lorem ipsum dolor sit amet consectetur adipisicing elit.
Excepturi, esse.
YOU ARE NOT LOGIN
Unlocking possibilities: Login required for a world of personalized
experiences.