The chain is composed of 100 or ______ pieces of galvanized mild steel wire called links, joined together with oval rings and handles at both ends.
निम्नलिखित में से किसकी लागत अधिक है? I. रु. 250 प्रत्येक पैकेट वाले 200 पैकेट II. रु. 250 प्रत्येक वस्तु के 20 दर्जन
निम्नलिखित नदियों को पूर्व से पश्चिम दिशा के क्रम में रखें : 1. कोसी नदी 2. तीस्ता नदी 3. गंडक नदी 4. शारदा नदा
निर्देश (प्र.सं. H-15 से H-20 तक) : इस खंड में नीचे दिए गए गद्यांश से सम्बन्धित प्रश्न दिए गए हैं। सही विकल्प चुनकर उत्तर पत्रक में अंकित कीजिये। विकास क्रम में पशुता हमारा जन्मसिद्ध अधिकार है और मनुष्यता हमारे युग-युगांतर के अनवतर अध्यवसाय से अर्जित अमूल्य निधि। इसी से हम अपने पूर्व स्वप्न के लिए, सामंजस्यपूर्ण आदर्श के लिए और भावनाओं के लिए प्राण की बाजी लगाते रहे हैं। जब हम से ऐसा करने की शक्ति शेष नहीं रह जाती तब हम एक मिथ्या दम्भ के साथ पशुता की ओर लौट चलते हैं क्योंकि वहाँ पहुँचने के लिए न किसी पराक्रम की आवश्यकता है और न साधन की। हम अपने शरीर को निश्चेष्ट छोड़कर हिमालय के शिखर से पाताल की गहराई तक सहज ही लुढ़कते चले आ सकते हैं। परंतु उसे ऊंचाई के सहस्र अंशो तक पहुँचने में हमारे पाँव काँपने लगेंगे, साँस फूलने लगेगी और आँखों के सामने अंधेरा छा जाएगा। प्रारम्भ में मुद्रित अंश आशय है कि
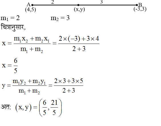
.
किस भौतिक राशि का मात्रक वोल्ट/एम्पियर होता है?
पश्चिम बंगाल में स्थित सुंदरवन.....का एक उदाहरण है
यूनेस्को की अमूर्त सांस्कृतिक विरासत (ICH) की सुरक्षा के लिए अंतर सरकारी समिति के 20वें सत्र की मेजबानी कौन सा देश कर रहा है?
What is the least number which leaves 1 as a remainder when divided by 6 and 7? वह छोटी से छोटी संख्या क्या है जिसे 6 और 7 से विभाजित करने पर शेषफल 1 बचता है?
Explanations:
Download our app to know more Lorem ipsum dolor sit amet consectetur adipisicing elit. Excepturi, esse.
Unlocking possibilities: Login required for a world of personalized experiences.