Which number will come in place of the question mark (?) to complete the given series. 0, 2, 6, 12, ?, 30, 42
In the following question below are given some statements followed by some conclusions based on those statements. Taking the given statements to be true even if they seem to be at variance from commonly known facts. Read all the conclusion and then decide which of the given conclusion logically follows the given statements Statements : I. All peacocks are swans. II. All parrot are swans. Conclusions: I. Some parrot are peacocks. II. Some swans are peacocks. III. Some swans are parrot. नीचे दिए गए प्रश्न मेें, कुछ कथन और उनके बाद उन कथनों पर आधारित कुछ निष्कर्ष दिए गए हैं। दिए गए कथनों को सही मानते हुए, चाहे वे सामान्य रूप से ज्ञात तथ्यों से भिन्न प्रतीत होते हों, सभी निष्कर्षों को पढ़िए और फिर निर्धारित कीजिए कि दिए गए कौन से/ सा निष्कर्ष, कथनों का तार्किक रूप से अनुसरण करता/करते हैं। कथन : सभी मोर हंस हैं। सभी तोते हंस हैं। निष्कर्ष : I. कुछ तोते मोर हैं। II. कुछ हंस मोर हैं। III. कुछ हंस तोते हैं।
Which of the following words in the passage means the same as the word 'triumph' ?
The ratio of mean supply of canal to its full capacity is known as _____ factor. नहर की औसत आपूर्ति और उसकी पूर्ण क्षमता के अनुपात को _____ कारक के रूप में जाना जाता है।
In the following question, select the missing number in the given series? 2, 6, 14, 30, 62, ?
If the sum of the first first 11 terms of an arithmetic progression equals that of the first 19 terms, then sum of first 30 terms will be– यदि एक समांतर श्रेणी के प्रथम 11 पदों का योगफल उसके प्रथम 19 पदों के योगफल के बराबर है, तो प्रथम 30 पदों का योगफल होगा-
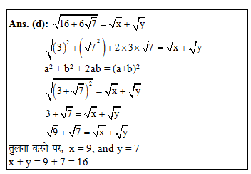
.
The famous 'Hawa Mahal' is in which city of Rajasthan?
बाघ की पहली गुफा का क्षेत्रफल है
Which one of the following is a plant hormone? निम्नलिखित में से कौन-सा एक वानस्पतिक हार्मोन है?
Explanations:
Download our app to know more Lorem ipsum dolor sit amet consectetur adipisicing elit. Excepturi, esse.
Unlocking possibilities: Login required for a world of personalized experiences.