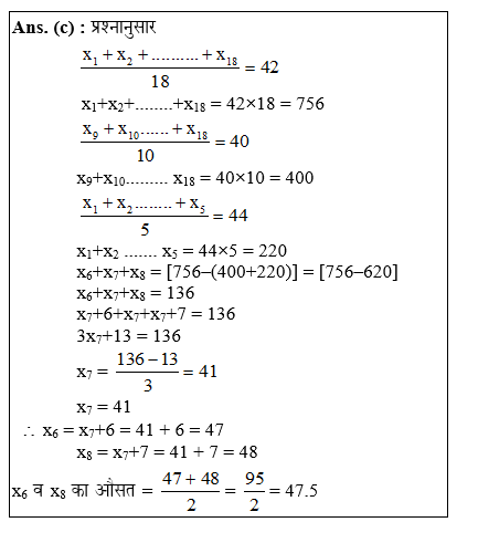
Q: अठारह संख्याओं का औसत 42 है। अंतिम दस संख्याओं का औसत 40 है और पहली पाँच संख्याओं का औसत 44 है। सातवीं संख्या, छठी संख्या से 6 कम और आठवीं संख्या से 7 कम है। छठी और आठवीं संख्याओं का औसत, ........ है।
A.
46.5
B.
48
C.
47.5
D.
45
Correct Answer:
Option C -
Explanations:
Download Our App
Download our app to know more Lorem ipsum dolor sit amet consectetur adipisicing elit.
Excepturi, esse.
YOU ARE NOT LOGIN
Unlocking possibilities: Login required for a world of personalized
experiences.