The 'Digital India Award, 2020' was given to the Bihar Government for/बिहार सरकार को ‘डिजिटल इंडिया अवार्ड, 2020’ किस लिए दिया गया था?
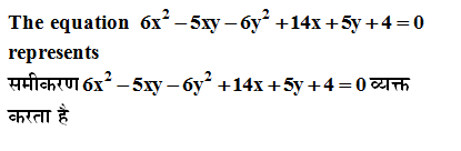
.
In the sentence identify the segment which contains the grammatical error. Some of the issues discussed on the media nowadays has no relevance to the nation-building process.
भारत के किस राज्य में रेलवे मंत्री ने सीएनजी ट्रेन को चलाने का प्रस्ताव रखा था।
भारत का कौन-सा राज्य अंतर्राष्ट्रीय पर्यटन मार्ट 2025 की मेजबानी कर रहा है?
Which of the following is an input device used to verify the legitimacy or originality of paper documents, especially cheques?
Which Commission was appointed by the central government to examine issues related to Centre-State relations? केंद्र -राज्य संबंधों से संबंधित मुद्दों की जांच के लिए केंद्र सरकार ने किस आयोग की नियुक्ति की थी?
एक कथन और उसके बाद दो संभावित निष्कर्ष I और II दिए गए हैं। सभी जानकरियों को ध्यान से पढ़े, और निर्णय लें कि दी गई जानकारी से इनमें से कौन-से निष्कर्ष निकाले जा सकते हैं? कथन: एक ऑनलाइन टीचिंग प्लेटफॉर्म ने तब से सब्सक्रिप्शन के माध्यम से लगभग दोगुनी कमाई करने की सूचना दी है, जब से उन्होंने प्लेटफॉर्म पर लाइव प्रॉब्लम-सॉल्विंग कक्षाएं शुरू की हैं। निष्कर्ष: 1. कोई भी अन्य ऑनलाइन शिक्षण प्लेटफॉर्म लाइव प्रॉब्लम-सॉल्विंग कक्षाएं पेश नहीं करता है। 2. जो छात्र उक्त प्लेटफॉर्म पर लाइव प्रॉब्लम-सॉल्विंग सेशन का विकल्प चुनते हैं, उन्हें नियमित कक्षाओं का विकल्प चुनने वालों की तुलना में दोगुना शुल्क देना पड़ता है।
Explanations:
Download our app to know more Lorem ipsum dolor sit amet consectetur adipisicing elit. Excepturi, esse.
Unlocking possibilities: Login required for a world of personalized experiences.