Q: As per IS 800:2007, the design bending strength of a laterally supported beam is given by_________. IS 800:2007 के अनुसार, एक पाश्र्व समर्थित धरन की अभिकल्पित बंकन सामर्थ्य को ……… द्वारा दिया जाता है।
A.
B.
C.
D.
Correct Answer:
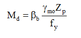
Option B -
Explanations:
Download Our App
Download our app to know more Lorem ipsum dolor sit amet consectetur adipisicing elit.
Excepturi, esse.
YOU ARE NOT LOGIN
Unlocking possibilities: Login required for a world of personalized
experiences.