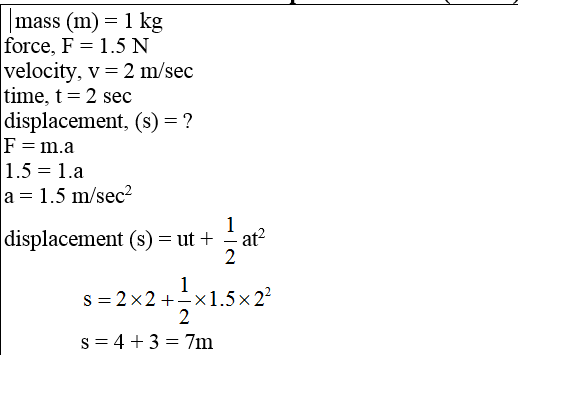
Q: An object with a mass of 1kg is moving towards east with a uniform velocity of 2m/s. A force of 1.5 N is applied on this towards the north. Find the value of displacement of the object after 2 seconds.
A.
7 m
B.
4 m
C.
-5 m
D.
3 m
Correct Answer:
Option A -
Explanations:
Download Our App
Download our app to know more Lorem ipsum dolor sit amet consectetur adipisicing elit.
Excepturi, esse.
YOU ARE NOT LOGIN
Unlocking possibilities: Login required for a world of personalized
experiences.