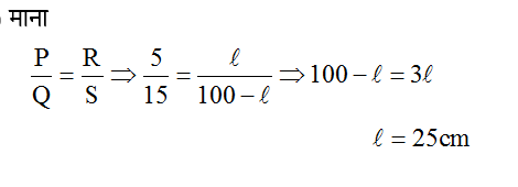
Q: A resistance of 5Ω is connected to the left gap of a metre bridge and resistance of 15Ω in the other gap. The position of balancing point is एक मीटर सेतु की बाँयी रिक्ति में 5Ω का प्रतिरोध तथा दूसरी रिक्ति में 15Ω का प्रतिरोध जोड़ा जाता है। सन्तुलन बिन्दु की स्थिति है
A.
20 cm
B.
25 cm
C.
75 cm
D.
10 cm
Correct Answer:
Option B -
Explanations:
Download Our App
Download our app to know more Lorem ipsum dolor sit amet consectetur adipisicing elit.
Excepturi, esse.
YOU ARE NOT LOGIN
Unlocking possibilities: Login required for a world of personalized
experiences.