Q: A man takes time t1 and t2 respectively to travel a certain distance in the upstream and in the downstream. If the speed of the stream is 'y' km/h. Find the speed in still water.
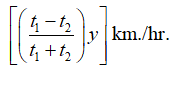
A.
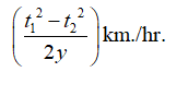
B.
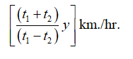
C.
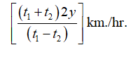
D.
Correct Answer:
Option D -
Explanations:
Download Our App
Download our app to know more Lorem ipsum dolor sit amet consectetur adipisicing elit.
Excepturi, esse.
YOU ARE NOT LOGIN
Unlocking possibilities: Login required for a world of personalized
experiences.