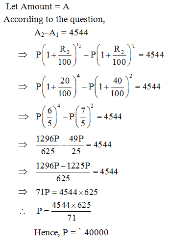
Q: A certain sum was invested at 40% p.a compound interest for two years and the interest was compounded annually. If the interest was compounded half-yearly, the amount payable of maturity after two years would have been ` 4,544 more. What was the sum invested?
A.
` 42,500
B.
` 40,000
C.
` 42,000
D.
` 37,500
Correct Answer:
Option B -
Explanations:
Download Our App
Download our app to know more Lorem ipsum dolor sit amet consectetur adipisicing elit.
Excepturi, esse.
YOU ARE NOT LOGIN
Unlocking possibilities: Login required for a world of personalized
experiences.