Q: A 5 litre flask containing 1 mole of A₂ is connected to a 10 litre flask containing 5 moles of B₂. If ''x'' be the degree of dissociation the equilibrium constant (K) for the reaction A₂ + B₂ = 2AB will be A₂ के 1 मोल द्रव युक्त एक 5 लीटर फ्लास्क को 10 लीटर आयतन वाले दूसरे फ्लास्क के साथ जोड़ दिया गया है जिसमें B₂ द्रव की 5 मोल मात्रा मौजूद है। यदि x वियोजन की मात्रा है तो रासायनिक अभिक्रिया- A₂ + B₂ = 2AB के लिए साम्य स्थिरांक (K) का मान होगा?
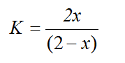
A.
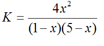
B.
C.
D.
Correct Answer:
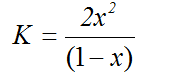
Option A -
Explanations:
Download Our App
Download our app to know more Lorem ipsum dolor sit amet consectetur adipisicing elit.
Excepturi, esse.
YOU ARE NOT LOGIN
Unlocking possibilities: Login required for a world of personalized
experiences.