According to the passage, which of the following option is incorrect ? Choose one option.
एक रेलगाड़ी उन दो व्यक्तियों को क्रमश: 10 सेकेण्ड और 8 सेकेण्ड में पार करती है, जो क्रमश: 4m/s और 10 m/s की चाल से उसकी विपरीत दिशा में चल रहे हैं। रेलगाड़ी की चाल ज्ञात कीजिए।
.
The moment produced at the far end of a beam due to application of a moment at the near end is called : किसी धरन के निकट वाले सिरे पर आघूर्ण लगाने के कारण दूरस्थ सिरे पर उत्पन्न होने वाले आघूर्ण को कहा जाता है-
Question: O, R and X are standing in a line. Who is in the middle? Statement: 1. O stands to left of R. 2. O wears red t-shirt.
In which Part of the constitution are the provisions of language? संविधान के किस भाग में भाषा के प्रावधान हैं?
Rainfall of intensity 20mm/h occurred over a watershed of area 1km2 for duration of six hours. It measures a direct runoff for a volume of 30,000m3 in the stream. find the precipitation NOT available for runoff in this case?
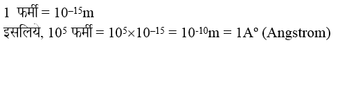
Select the option that is related to the third word in the same way as the second word is related to the first word. Time : Second :: Length : ?
A finite-state machine with no output function at all is known as/एक परिमित स्टेट मशीन जिसमें कोई आउटपुट फंक्शन नहीं होता है उसे कहते है-
निम्नलिखित किस वर्ष में नैनीताल में भारी भू-स्खलन हुआ–
Explanations:
Download our app to know more Lorem ipsum dolor sit amet consectetur adipisicing elit. Excepturi, esse.
Unlocking possibilities: Login required for a world of personalized experiences.