उस तत्त्व का नाम बताइये जिसके अभाव में चित्र रचना सम्भव नहीं है─
A statements followed by some conclusions are given below. Assuming the given statements to be true even if they seem to be at variance with the commonly known facts and then decide which of the given conclusions logically follow (s) from the given statements. Statement: Mani said to his mother, "The soup is delicious." Conclusion: I. Mani's mother made the soup. II. Mani liked the soup.
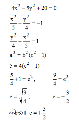
.
250 मीटर लम्बाई की एक ट्रेन एक खंभे को 12 सेकंड में पार करती है, तो उस ट्रेन की प्रति घण्टा गति किलोमीटर में है–
मशीन के स्पिण्डल से टेपर शैंक ड्रिलों को निकालने के लिए किस साधन का प्रयोग किया जाता है –
कोयले की दलाली में मुँह काला’ – इस लोकोक्ति का अर्थ निम्नलिखित में से कौन सा विकल्प दर्शाता है?
भारतीय संविधान में MLA का पूरा रूप क्या है?
With which country, is India conducted the 4th edition of biennial training exercise DUSTLIK (2023) in February 2023? फरवरी 2023 में भारत ने किस देश के साथ द्विवार्षिक प्रशिक्षण अभ्यास DUSTLIK (2023) के चौथे संस्करण का आयोजन किया?
Services available on the Internet include : (a) Locating people using social networking sites /सोशल नेटवर्किंग साइट का प्रयोग करने वाले लोगों का पता लगाना (b) Downloading and uploading files from or to remote sites /रिमोट साइट से अथवा पर फाइलें डाउनलोड और अपलोड करना (c) Playing community games /कम्युनिटी गेम्स खेलना (d) Maintaining journals/जर्नल का रख-रखाव करना (e) Forming groups and sharing views with like-minded people /ग्रुप (समूह) बनाना और समान विचार वाले लागों के साथ व्यूज (विचार) साझा करना।
Explanations:
Download our app to know more Lorem ipsum dolor sit amet consectetur adipisicing elit. Excepturi, esse.
Unlocking possibilities: Login required for a world of personalized experiences.