राष्ट्रीय चिकित्सा आयोग का अध्यक्ष किसे नियुक्त किया गया है?
हाल ही में एशिया के सबसे बड़े इंटरकॉलेजिएट तकनीकी और उद्यमशीलता महोत्सव का उद्घाटन किसने किया?
अम्ल और जल के दो विलयनों A और B में अम्ल और जल के अनुपात क्रमश: 7 : 9 और 5 : 3 है। A और B को x : y के अनुपात में मिलाया जाता है। यदि परिणामी विलयन में अम्ल और जल का अनुपात 9 : 7 है, तो x : y का मान ज्ञात कीजिए।
उ.प्र. कन्या सुमंगला योजना के तहत कुल कितने रूपये की आर्थिक सहायता प्रदान की जाती है?
इलायची पहाड़ियाँ भारत के किस राज्य में स्थित हैं?
Prithviraj Chauhan married_____. She was the daughter of his enemy Jaichand Gahadwal.
The radius and height of a cylinder are in the ratio 6 : 7 and its volume is 792 cm³ . Calculate its curved surface area in cm². एक बेलन की त्रिज्या और ऊँचाई का अनुपात 6 : 7 है और इसका आयतन 792 cm³ है। इसके वक्र पृष्ठीय क्षेत्रफल की गणना cm² में कीजिए।
If the thickness of a structural member is small as compared to its length and width, it is classified as ..........
‘ट्रैक बॉल’ निम्नलिखित में से किस श्रेणी के अंतर्गत आता है?
Which of the following CPU registers is used to store data and intermediate results produced by the ALU? निम्नलिखित में से किस CPUरजिस्टर का उपयोग, डेटा और ALU द्वारा उत्पन्न किए गए मध्यवर्ती परिणामों को संग्रहीत करने के लिए किया जाता है?
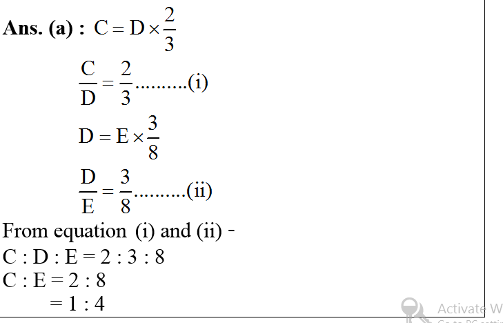
Explanations:
Download our app to know more Lorem ipsum dolor sit amet consectetur adipisicing elit. Excepturi, esse.
Unlocking possibilities: Login required for a world of personalized experiences.