Which of the given options would be a meaningful ascending order of the following words? 1. Star 2. Satellite 3. Galaxy 4. Planet 5. Universe
निम्नलिखित प्रश्न में प्रश्नवाचक चिह्न (?) के स्थान पर कौन-सा मान आना चाहिए? × (29 × 2 × 1999.5) ÷ 84.1 = ?
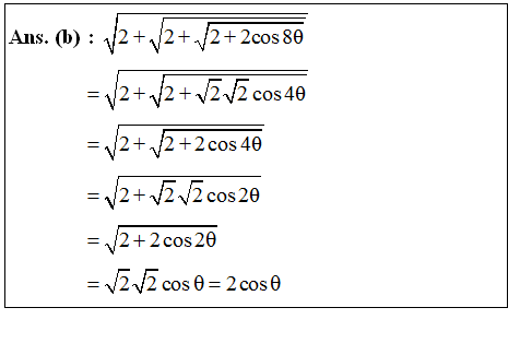
.
Two taps can fill a cistern in 2 hours and 51 hours respectively. A third tap can empty it in 51 hours. How long (in hours) will it take to fill the empty cistern, if all of them are opened together? दो नल एक टंकी को क्रमश: 2 घंटे और 51 घंटे में भर सकते हैं। एक तीसरा नल इसे 51 घंटे में खाली कर सकता है। यदि सभी नलों को एक साथ खोल दिया जाए तो खाली टंकी को भरने में कितना समय (घंटे में) लगेगा?
Imran was born on 9 January, 2015, while Irfan was born 549 days later. On which date Irfan was born?
In the vane shear test of soil, the length is usually kept equal to ________its overall width. मृदा के वेन शियर परीक्षण में, वेन की लंबाई सामान्यत: उसकी चौड़ाई से _______ रखी जाती है।
Which one of the following statements is correct regarding parliamentary form of Government?/सरकार की संसदीय व्यवस्था के विषय में निम्नलिखित में से कौन–सा वक्तव्य सही है?
The average marks of 3 students of a class in an examination is 18 out of 25. Two new students appeared in the exam. What is the minimum marks which can be obtained by a new student and it is less than other students and the total average of all the five students increases to 20?
Based on the English alphabetical order, three of the following four letter-cluster pairs are alike in a certain way and thus form a group. Which letter-cluster pair DOES NOT belong to that group? (Note: The odd one out is not based on the number of consonants/vowels or their position in the letter-cluster.) अंग्रजी वर्णमाला क्रम के आधार पर, निम्नलिखित चार अक्षर - समूह युग्मों में से तीन एक निश्चित तरीके से समान हैं और इस प्रकार एक ग्रुप बनाते हैं। कौन - सा अक्षर - समूह युग्म उस ग्रुप से संबंधित नहीं हैं? (नोट: असंगत अक्षर - समूह युग्म, अक्षर -समूह युग्म में व्यंजन/स्वरों की संख्या या उनकी स्थिति पर आधारित नहीं है।)
The word ‘unit’ in the unit hydrograph refers to/ यूनिट हाइड्रोग्राफ में ‘यूनिट’ शब्द का तात्पर्य है-
Explanations:
Download our app to know more Lorem ipsum dolor sit amet consectetur adipisicing elit. Excepturi, esse.
Unlocking possibilities: Login required for a world of personalized experiences.