As per Indian Standard (IS 383 : 2016), the grading of fine aggregates is divided into how many zones?
A fan is sold for Rs. 1560 at a profit of 30%. If its selling price is Rs. 960, then what will be the loss percentage?
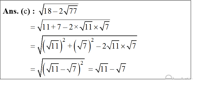
.
महालवाड़ी प्रणाली कहाँ लागू की गई?
‘अक्ल पर पत्थर पड़ना’ मुहावरे का अर्थ क्या है?
निम्नलिखित में से कौन-सा शब्द पुल्लिंग है?
नीचे दिए गए शब्दों को किसी संगठन में उनके पदों के अनुक्रम में व्यवस्थित करें। 1. सहायक प्रबंधक 2. प्रबंधक 3. उप महाप्रबंधक 4. वरिष्ठ प्रबंधक 5. मुख्य कार्यकारी अधिकारी
संख्या 12345 में 3 के स्थानीय मान तथा अंकित मान में अंतर है-
संविधान (अनुसूचित जनजाति) आदेश (दूसरा संशोधन) विधेयक, 2022 ने नारिकोरवन (Narikoravan) और कुरीविक्करन (Kurivikkaran) समुदायों को किस राज्य की अनुसूचित जनजातियों की सूची में शामिल किया है?
Explanations:
Download our app to know more Lorem ipsum dolor sit amet consectetur adipisicing elit. Excepturi, esse.
Unlocking possibilities: Login required for a world of personalized experiences.