UJT has ______ p-n junction and _______ terminals. यूजेटी (UJT) में, ............ p-n जंक्शन और ............. टर्मिनल होते हैं।
Hauz-e-Sultani is a –––––
सुभाषचंद्र बोस किस वर्ष भारतीय राष्ट्रीय कांग्रेस के अध्यक्ष थे?
‘मुनिश्रेष्ठ:’ पद में कौन-सा समास है?
हाल ही में किस बैंक ने 'सम्मान' रुपे क्रेडिट कार्ड लांच किया है?
विजयनगर शासन में मेलाग्राम में कितने ग्राम आते थे?
What is the value of x, if 25% of 480 + 30% of 500 + x% of 90 = 35% of 900?
Obtaining an understanding of an internal control involves evaluating the design of the control and determining whether the control has been ............. आंतरिक नियंत्रण की समझ प्राप्त करने मेें नियंत्रण के अभिकल्प का मूल्यांकन करना तथा यह निर्धारित करना शामिल है क्या ऐसे नियंत्रण को .......... किया गया है।
The ......... tags along with its associated tags and attributes is used in two ways; to seperate different blocks of content and to present content in the form of tables : .......... टैगों का इसके संबद्ध टैगों और विशेषताओं के साथ दो प्रकार से प्रयोग किया जाता है; एक विषय–वस्तु के विभिन्न ब्लोकों को पृथक करने के लिए और दूसरा विषय–वस्तु को सारणी के रूप में प्रस्तुत करने के लिए–
भारतीय संविधान के किस अनुच्छेद में पंचायत को परिभाषित किया गया है?
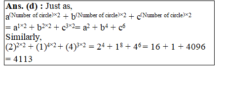
Explanations:
Download our app to know more Lorem ipsum dolor sit amet consectetur adipisicing elit. Excepturi, esse.
Unlocking possibilities: Login required for a world of personalized experiences.