search
Q: .
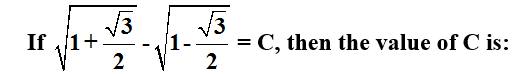
question image
  • A. 2 4 1 3
  • B. 3 1 2 4
  • C. 4 2 3 1
  • D. 2 3 1 4
Correct Answer: Option A - (A) सेन्ट्रल रिसर्च इंस्टीट्यूट फार ड्राइलैण्ड एग्रीकल्चर –हैदराबाद (B) इण्डियन इंस्टीट्यूट ऑफ पल्सेस रिसर्च –कानुपर (C) इण्डियन ग्रासलैण्ड एण्ड फोडर रिसर्च इंस्टीट्यूट –झाँसी (D) उत्तर प्रदेश काउंसिल ऑफ एग्रीकल्चर रिसर्च –लखनऊ
A. (A) सेन्ट्रल रिसर्च इंस्टीट्यूट फार ड्राइलैण्ड एग्रीकल्चर –हैदराबाद (B) इण्डियन इंस्टीट्यूट ऑफ पल्सेस रिसर्च –कानुपर (C) इण्डियन ग्रासलैण्ड एण्ड फोडर रिसर्च इंस्टीट्यूट –झाँसी (D) उत्तर प्रदेश काउंसिल ऑफ एग्रीकल्चर रिसर्च –लखनऊ

Explanations:

(A) सेन्ट्रल रिसर्च इंस्टीट्यूट फार ड्राइलैण्ड एग्रीकल्चर –हैदराबाद (B) इण्डियन इंस्टीट्यूट ऑफ पल्सेस रिसर्च –कानुपर (C) इण्डियन ग्रासलैण्ड एण्ड फोडर रिसर्च इंस्टीट्यूट –झाँसी (D) उत्तर प्रदेश काउंसिल ऑफ एग्रीकल्चर रिसर्च –लखनऊ