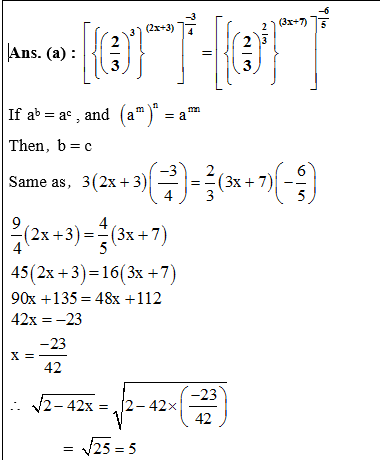
5
निर्देश : गद्यांश को पढ़कर निम्नलिखित प्रश्नों (प्र.सं. 251 से 257) में सबसे उचित विकल्प चुनिए। हमारे देश के त्योहार चाहे धार्मिक दृष्टि से मनाए जा रहे हैं या नए वर्ष के आगमन के रूप में, फसल की कटाई एवं खलिहानों के भरने की खुशी में हों या महापुरुषों की याद में, सभी देश की राष्ट्रीय एवं सांस्कृतिक एकता और अखंडता को मजबूती प्रदान करते हैं। ये त्योहार जनमानस में उल्लास, उमंग एवं खुशहाली भर देते हैं, ये हमारे अंदर देश-भक्ति एवं गौरव की भावना के साथ-साथ, विश्व-बंधुत्व एवं समन्वय की भावना भी बढ़ाते हैं। इनके द्वारा महापुरुषों के उपदेश हमें इस बात की याद दिलाते हैं कि सद्विचार एवं सद्भावना द्वारा ही हम प्रगति की ओर बढ़ सकते हैं। इन त्योहारों के माध्यम से हमें यह भी संदेश मिलता है कि वास्तव में धर्मों का मूल लक्ष्य एक है, केवल उस लक्ष्य तक पहुँचने के तरीके अलग-अलग है। त्योहारों का मनाना किससे संबंधित हैं?