दिए गए विकल्पों में से उस आकृति का चयन करें, जो निम्नांकित आकृति में प्रश्नवाचक चिह्न (?) के स्थान पर आ सकती है, और पैटर्न को पूरा कर सकती है (घुमाने की अनुमति नहीं है)।
270⁰ माप का कोण एक उदाहरण है-
In MS Word, if you press the Tab key within a table, the cursor moves you to the______. एमएस वर्ड में, यदि आप एक टेबल में टैब को प्रेस करते है तो कर्सर आपको _______ में ले जाता है।
The minimum percentage of shear reinforcement in R.C.C. beams is................
M is the son of P. Q is the granddaughter of O who is the husband of P. How is M related to O? M, P का पुत्र है। Q, O की पोती है जो P का पति है। M का O से क्या संबंध है?
लाला लाजपत राय के संदर्भ में निम्नलिखित में से कौन-सा/से कथन सही है/हैं? 1. प्रारम्भ में वे असहयोग नीति के पक्ष में नहीं थे, परन्तु बाद में वे गांधी के पक्ष में हो गये। 2. स्वराज पार्टी के गठन में लाला लाजपत राय भी शामिल हुये। नीच दिये गये कूट से सही उत्तर का चयन कीजिए: कोड :
12 cm और 13 cm त्रिज्याओं वाले दो वृत्त संकेंद्रित हैं। बड़े वृत्त की जीवा की लंबाई ज्ञात कीजिए जो छोटे वृत्त को स्पर्श करता है।
डॉ. एम. जी. एस. नारायणन किस क्षेत्र से जुड़े हुए थे?
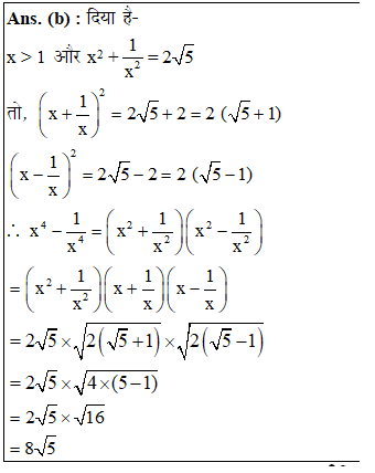
.
‘‘जनम सिंधु पुनि बंधु विष, दिन मलीन सकलंक। सिय मुख समता पाव किमि चंद बापुरो रंक।।’’ पंक्तियों में कौन सा अलंकार है?
Explanations:
Download our app to know more Lorem ipsum dolor sit amet consectetur adipisicing elit. Excepturi, esse.
Unlocking possibilities: Login required for a world of personalized experiences.