निर्देश–प्रश्न 84-89 पर्यन्तं प्रश्ना: प्रस्तुतगद्यांशमाधारीकृत्य समाधेया:– अस्ति मगधदेशे चम्पकवती नामारण्यानी। तस्यां चिरान्महता स्नेहेन मृगकाकौ निवसत:। स च मृग: स्वेच्छया भ्राम्यन्हृष्टपुष्टाङ्ग: केनचिच्छृगालेनावलोेकित:। तं दृष्ट्वा शृगालोऽचिन्तयत् – ``आ:, कथमेतन्मांसं सुललितं भक्षयामि? भवतु, विश्वासं तावदुत्पादयामि।'' इत्यालोच्योपसृत्याब्रवीत्– ``मित्र! कुशलं ते?'' मृगेणोक्तम् – ``कस्त्वम्?'' स ब्रूते– ``क्षुद्रबुद्धिनामा जम्बूकोऽहम् अत्रारण्ये बन्धुहीनो मृतवन्निवसामि। इदानीं त्वां मित्रमासाद्य पुन: सबन्धुर्जीवलोकं प्रविष्टोऽस्मि। अधुना तवानुचरेण मया सर्वथा भवितव्यम्।'' मृगेणोक्तम् – ``एवमस्तु।'' तत: पश्चादस्तं गते सवितरि भगवति मरीचिमालिनि तौ मृगस्य वासभूमिं गतौ। तत्र चम्पकवृक्षशाखायां सुबुद्धिनामा काको मृगस्य चिरमित्रं निवसति। तौ दृष्ट्वा काकोऽवदत्–``सखे चित्राङ्ग! कोऽयं द्वितीय:?'' मृगो ब्रूते – ``जम्बूकोऽयम्, अस्मत्सख्यमिच्छन्नागत:।'' काको ब्रूते– मित्र! अकस्मादागन्तुना सह मैत्री न युक्ता:। चम्पकवती नामारण्यानी अस्ति
.
Which among the following is a pair of isotones? निम्न में से कौन-सा समन्यूट्रॉनिकों का युग्म है?
Fill in the blanks with the correct article : Yesterday I saw ........... European riding on .......... elephant.
In computing, the encrypted data is referred to as ______. कंप्यूटिंग में, एन्क्रिप्टेड (encrypted data) डेटा को ------- कहा जाता है।
The capsules are made of gelation obtained by boiling which part of the animal जिलेटिन से कैपस्यूल का निर्माण जन्तु के किन भागों को उबाल कर किया जाता है?
In a certain code language, if LET is coded as 12520 then WIN will be coded as ?
Which of the following type of pile is not used in building foundation?
मानव बुद्धि एवं विकास की समझ शिक्षक को--- के योग्य बनाती है।
The summit curves are required to be introduced at the situations where: शिखर वक्रों को उन स्थितियो में प्रस्तुत करना आवश्यक है जहाँ-
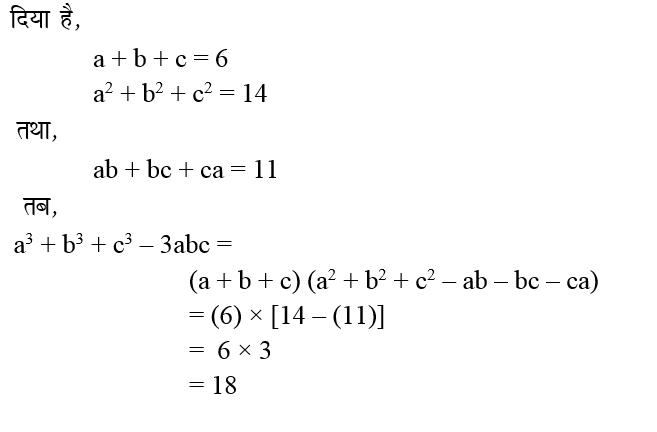
Explanations:
Download our app to know more Lorem ipsum dolor sit amet consectetur adipisicing elit. Excepturi, esse.
Unlocking possibilities: Login required for a world of personalized experiences.