Who was the last independent Nawab of Bengal?/बंगाल का अंतिम स्वतंत्र नवाब कौन था ?
The famous Sarod Player born in Gwalior was ग्वालियर में पैदा हुए प्रसिद्ध सरोद वादक थे
फेम इंडिया योजना के द्वितीय चरण का योजना काल है–
कथन (A) : शहरी गरीबी की जड़ ग्रामीण क्षेत्रों में होती है। कारण (R) : ग्रामीण क्षेत्रों में शिक्षा का स्तर निम्न होता है। उपर्युक्त कथनों पर विचार कीजिए तथा नीचे दिए कूट से सही उत्तर का चयन कीजिए – कूट :
योगेश 30 km/h की चाल से दौड़ता है और किसी दौड़ को 5 मिनट में पूरा करता है। उस दौड़ की कितनी लंबाई (m में) है ?
दिए गए विकल्पों में से कौन सा कथन सही नहीं है?
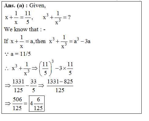
.
उस विकल्प का चयन करें, जिसका पांचवीं संख्या से वही संबंध है, जो दूसरी संख्या का पहली संख्या से है, और चौथी संख्या का तीसरी संख्या से है। 40 : 45 :: 68 : 77 :: 104 : ?
पिता और पुत्र की आयु का योग 50 है। छ: वर्ष पहले पिता की आयु बेटे की आयु के तीन गुुने से 6 अधिक थी। 6 वर्ष बाद पिता की आयु क्या होगी?
Six friends are sitting in a circular position facing the centre. Sumit is sitting second to the right of Amit. Karan is immediate next to Param. Tony is sitting third to the right of Amit. Dharam is immediately adjacent to Amit and Sumit. Karan is sitting second to the right of Sumit. Who is sitting immediate left of Amit?
Explanations:
Download our app to know more Lorem ipsum dolor sit amet consectetur adipisicing elit. Excepturi, esse.
Unlocking possibilities: Login required for a world of personalized experiences.