Which of the following cannot be the probability of an event? निम्नलिखित में से कौन-सी किसी घटना की प्रायिकता नहीं हो सकती?
खाने वाला नमक है–
Which of the following represents the distance travelled by a wave in one second?
The first area of moment for a triangle having base B and height H with respect base is: एक त्रिभुज के लिए, आधार के सम्बन्ध में जिसका आधार B तथा ऊँचाई H है प्रथम क्षेत्रफल आघूर्ण होता है–
To prevent lateral movement of stones, which of the following joints is used? पत्थरों की पाश्र्व गति को रोकने के लिए, निम्नलिखित में से किस जोड़ का उपयोग किया जाता है?
For closed conduit, the velocity profile for turbulent flow is : एक बन्द नाली में अशांत प्रवाह के लिए वेग प्रोफाइल होगी–
Giving two successive discounts of 20% is same as giving one discount of ....... %
एक विशेष कोड भाषा में , ‘NATION’ को ‘72’ लिखा जाता है, ‘NATURE’ को ‘78’ लिखा जाता है। इस कोड भाषा में 'PACKED' का कोड क्या है?
Which of the following statements is INCORRECT? निम्नलिखित में से कौन सा कथन गलत है?
In a certain code language, DEAF is written as 'HJGM'. How will CALM be written as in that language?
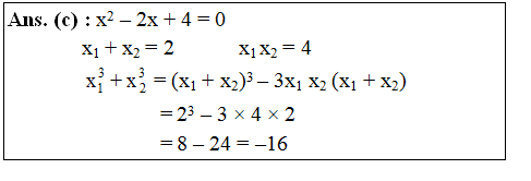
Explanations:
Download our app to know more Lorem ipsum dolor sit amet consectetur adipisicing elit. Excepturi, esse.
Unlocking possibilities: Login required for a world of personalized experiences.