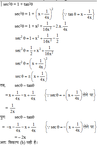
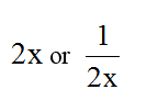
search
Q: के. के. हैब्बर के अन्तिम दिनों की चित्रशैली है :
  • A. आलंकारिक
  • B. रेखात्मक
  • C. वास्तव धर्मी
  • D. शास्त्रीय
Correct Answer: Option B - के.के. हैब्बर के अन्तिम दिनों की चित्रशैली रेखात्मक थी किन्तु कुछ समय पश्चात् उन्होंने मुगल व राजपूत शैलियों का अध्ययन करके एक निजी चित्र शैली जिसे रेखात्मक कहा जाता है, निकाली।
B. के.के. हैब्बर के अन्तिम दिनों की चित्रशैली रेखात्मक थी किन्तु कुछ समय पश्चात् उन्होंने मुगल व राजपूत शैलियों का अध्ययन करके एक निजी चित्र शैली जिसे रेखात्मक कहा जाता है, निकाली।

Explanations:

के.के. हैब्बर के अन्तिम दिनों की चित्रशैली रेखात्मक थी किन्तु कुछ समय पश्चात् उन्होंने मुगल व राजपूत शैलियों का अध्ययन करके एक निजी चित्र शैली जिसे रेखात्मक कहा जाता है, निकाली।