........... is a type of religious songs often sung to a newly wed bride or to an unmarried girl, who is expected to get married in near future. ..............एक प्रकार का धार्मिक गीत है जिसे अक्सर एक नवविवाहित दुल्हन या एक अविवाहित लड़की के लिए गाया जाता है, जिसकी निकट भविष्य में शादी होने की उम्मीद है।
______ has divisions which are slightly shorter than those of the main scale and in which n divisions on the vernier scale are equal in length to (n- 1) divisions on the main scale.
'Impropriety' means – behaviour or actions that are dishonest, morally wrong or not appropriate for a person in a position of responsibility. Hence option (d) is correct.
In the design of a cantilever beam, main steel reinforcement is provided along ______ face of the beam. एक प्रास धरन के अभिकल्पन में, धरन के ________ फलक के अनुदिश मुख्य इस्पात प्रबलन प्रदान किया जाता है।
भारतीय सेना ने जम्मू-कश्मीर में 'ऑपरेशन महादेव' के दौरान कितने पाकिस्तानी मूल के आतंकवादियों को मार गिराया है?
डीजल इंजन के चुषण (सक्शन) में क्या होता है?
There is an acoustic resonance, which echoes is the fixed resonance when it is in vibration.
Who was recently appointed as the director of the Central Bureau of Investigation (CBI)? हाल ही में केन्द्रीय अन्वेषण ब्यूरो (CBI) के निदेशक के रूप में किसे नियुक्त किया गया?
Nearly every search engine uses programs or automated scripts called search engines to systematically browse the world wide web and index their search results into a local repository. लगभग हर सर्च इंजन वर्ल्ड वाइड वेब को व्यवस्थित तरीके से ब्राउज करने और उन्हें लोकल रिपोजिटरी में अनुक्रमित करने के लिए------ नामक प्रोग्राम या स्वचालित स्क्रिप्ट का उपयोग करता है।
एक नाविक धारा के विपरीत दिशा में2 किमी की दूरी 1 घंटे में तय करता है और धारा की दिशा में 1 किमी की दूरी 10 मिनट में तय करता है। शांत जल मेंं नाव की चाल ज्ञात कीजिए।
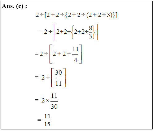
Explanations:
Download our app to know more Lorem ipsum dolor sit amet consectetur adipisicing elit. Excepturi, esse.
Unlocking possibilities: Login required for a world of personalized experiences.