Number of unknown to be determined in the stiffness method is equal to
Rakhi scored 12 marks more than Mohan. If Rakhi scored 54% marks out of a maximum of 200, then how much did Mohan score?
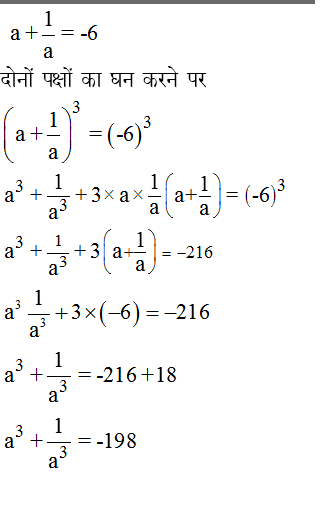
.
उत्तराखण्ड में बाँज बुरांश के पौधे हैं–
What is the range of Iron oxide present in ordinary Portland cement?
Which of the following logic gates is a universal gate i.e. its combinations can be used to construct the logic of any other logic gate? वह कौन सा गेट यूनीवर्सल गेट है। जो अन्य लॉजिक गेटो से मिलकर बनता है?
निम्नलिखित में से कौन-सा विकल्प वर्ल्ड वाइड वेब पर एक ऐसा एड्रेस है, जिसका उपयोग विशिष्ट वेब रिसोर्सेज के एक्सेस के लिए किया जाता है और जो किसी रिसोर्स के लिए विशिष्ट पाथ होता है?
Which one of the following refers to the technique used for verifying the integrity of the message?/निम्नलिखित में से कौन-सा संदेश की अखंडता (इंटीग्रिटी) को सत्यापित करने के लिए प्रयुक्त की जाने वाली तकनीक को संदर्भित करता है?
मुद्रास्फीति एक संयोजन है, ............. वास्तविक सकल उत्पाद (जीडीपी) और बढ़ता मूल्य स्तर का–
In the year ___, the Maratha Empire ceased to exist with the surrender of the Marathas to the British, ending the Third Anglo-Maratha War.
Explanations:
Download our app to know more Lorem ipsum dolor sit amet consectetur adipisicing elit. Excepturi, esse.
Unlocking possibilities: Login required for a world of personalized experiences.