Select the option that is related to the third term in the same way as the second term is related to the first term. Bed : Pillow :: Sofa : ?
बैलेस्टिक मिसाइल के प्रसार को रोकने के लिए वैश्विक प्रयास, हेग कोड ऑफ कण्डक्ट (HCoC) को हाल ही में निम्न में से किस देश ने सदस्यता ग्रहण किया है?
हाल ही में उत्तर प्रदेश के किन क्षेत्रों में लू और 'वॉर्म नाइट अलर्ट' जारी किया गया?
Traffic Engineering Studies 95. Which of the following is NOT a warning sign? i. Pedestrian Crossing ii. Men at Work iii. School iv. Truck Prohibited v. No stopping
A के वेतन और B के वेतन का अनुपात 4 : 5 था। A के वेतन में 10% की वृद्धि हुई और B के वेतन में 20% की वृद्धि हुई। अब A के वेतन और B के वेतन का अनुपात क्या होगा?
हाल ही में किस देश ने अपनी पहली अंतरिक्ष एजेंसी शुरु की ?
Eidograph is used/ईडोग्राफ का प्रयोग किया जाता है
Which of the following is CORRECT about the viscosity of gas?
फाइड महिला ग्रैंड स्विस 2023 का टाइटल भारत की किस चेस खिलाड़ी ने जीता?
The phenomenon of occurance of additional species found in the ecotone or transitional zone between adjoining ecosystems is known as-/आस-पास के पारिस्थितिक तंत्रों के बीच इकोटोन या संक्रमणशील क्षेत्र में पायी जाने वाली अतिरिक्त प्रजातियों की उत्पत्ति को क्या कहा जाता है–
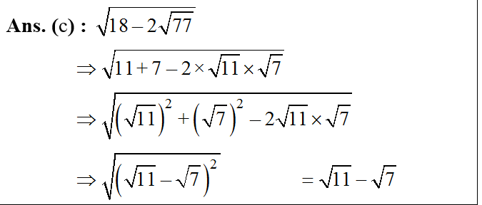
Explanations:
Download our app to know more Lorem ipsum dolor sit amet consectetur adipisicing elit. Excepturi, esse.
Unlocking possibilities: Login required for a world of personalized experiences.