The capacity of a reservoir is 108 m³. Water is poured into it at the rate of 60 litres per minute. How many hours will it take to fill the reservoir? एक संचितालय की धीरता 108 घन मी. है। इसमें 60 लीटर प्रति मिनट की दर से पानी उड़ेला जाता है। संचितालय को भरने में कितने घण्टे लगेंगे?
बिहार में प्रसिद्ध मन्दारिगिरी मन्दिर कहाँ अवस्थित है?
If 2 is added to each odd digit and 1 is subtracted from each even digit in the number 2687531, then how many digits will appear more than once in the new number thus formed?/ यदि संख्या 2687531 में प्रत्येक विषम अंक में 2 जोड़ा जाए तथा प्रत्येक सम अंक में से 1 घटाया जाए, तो इस प्रकार बनी नई संख्या में कितने अंक एक से अधिक बार आएंगे?
हाल ही में किस राज्य में आईआईएम की स्थापना को केन्द्रीय मंजूरी मिली है?
.
Which of the following states has been formed recently?
'Gulf-Stream' is– ‘गल्फ-स्ट्रीम’ है
As ‘Glass’ is related to ‘Sand’, in the same way to which one among the following ‘Paper’ is related? जिस प्रकार ‘काँच’ सम्बंधित है ‘ बालू’ से उसी प्रकार निम्नलिखित में से किस एक से ‘कागज’ सम्बंधित है?
Karnaprayag town is located on the confluence of which of the following rivers? कर्णप्रयाग शहर निम्नलिखित नदियों में से किसके संगम पर अवस्थित है?
कक्षा–अध्यापक ने राघव को अपनी कक्षा में अपने की–बोर्ड पर स्वयं द्वारा तैयार किया गया मधुर संगीत बजाते हुए देखा। कक्षा–अध्यापक ने विचार किया कि राघव में ............ बुद्धि उच्च स्तरीय थी।
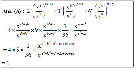
Explanations:
Download our app to know more Lorem ipsum dolor sit amet consectetur adipisicing elit. Excepturi, esse.
Unlocking possibilities: Login required for a world of personalized experiences.