Which of the following statements is not correct regarding the Revolt of 1857? I. It was known as the second war of independence. II. It started on 13 May 1857. III. This rebellion started in Merrut. 1857 के विद्रोह के संबंध में निम्नलिखित में से कौन-सा कथन सही नहीं है? I. इसे स्वत्रंता के दूसरे युद्ध के रूप में जाना जाता था। II. इसकी शुरूआत 13 मई 1857 को हुई थी। III. यह विद्रोह मेरठ में शुरू हुआ।
The sum and the difference of two numbers are 25 and 3 respectively. Find the difference of their squares.
One hectare is equal to?/एक हेक्टेयर बराबर है:
‘निवेश मित्र’ योजना किस राज्य सरकार द्वारा प्रारम्भ की गई है ?
जून महीने के लिए आईसीसी प्लेयर ऑफ़ द मंथ का अवार्ड किसने जीता?
In Bohr model, electron of a hydrogen atom moves in a circular orbit of radius 5.3×10⁻¹¹m with a speed of 2.2×10⁶ m/sec, the current produced will be of 2.2×10⁶ m/sec, the current produced will be बोर मॉडल में हाइड्रोजन परमाणु का एक इलेक्ट्रॉन 5.3×10⁻¹¹m त्रिज्या के वृत्तीय कक्षा में 2.2×10⁶ मी०/से० की चाल से गतिमान है तो कक्षा में विद्युत धारा होगी-
भारत के स्वतंत्रता संघर्ष के दौरान निम्नलिखित में से किसने ‘सत्यमेव जयते’ नारे का प्रयोग किया?
अपराधी बालक कौन होते हैं?
Which of the following statements about Machine language is correct? मशीनी भाषा के सम्बन्ध में निम्न में से कौन-सा कथन सत्य है?
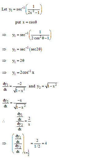
,
Explanations:
Download our app to know more Lorem ipsum dolor sit amet consectetur adipisicing elit. Excepturi, esse.
Unlocking possibilities: Login required for a world of personalized experiences.