मसौदा समिति के अध्यक्ष कौन थे, जिनके पास संविधान का मसौदा तैयार करने का कार्य था?
दो साल के लिए निवेश की गई धनराशि, जिसे 20% वार्षिक दर से, वार्षिक आधार पर चक्रवृद्धि किया जाना है। परिपक्वता पर ₹324 बन जाती है। निवेश की गई प्रारंभिक राशि कितनी थी :
Which of the following is the electric power’s formula?
Groynes are adopted for river bank protection works. When it is placed inclined downstream in the direction of flow in the river, it is designated as which one of the following ?/नदी तट संरक्षण कार्यो के लिए ग्रॉयन को अपनाया जाता है। जब इसे नदी में प्रवाह की दिशा में नीचे की ओर झुकाया जाता है तो इसे निम्नलिखित में से किस के रूप नामित किया जाता है?
Minerals and oil are- खनिज और तेल क्या हैं?
Which major Indian port has become the first to operate under a Public-Private Partnership (PPP) model? निम्नलिखित में से कौन-सा प्रमुख भारतीय बंदरगाह सार्वजनिक-निजी भागीदारी (Public-Private Partnership (PPP) मॉडल के अंतर्गत संचालित होने वाला पहला बंदगाह बन गया है?
Omelete is related to Egg in the same way as metal is related to:
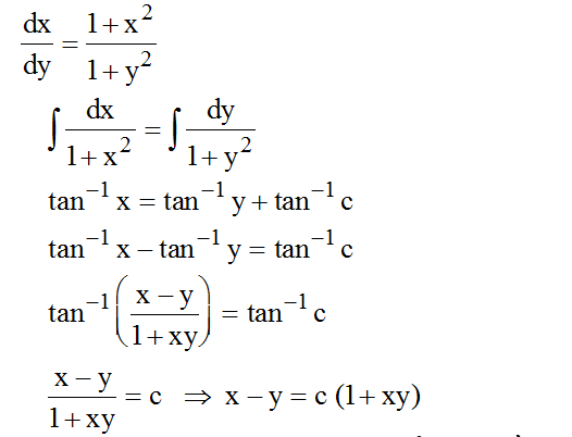
.
निम्नलिखित में से कौन-सी संख्या-पूर्व अवधारणा नहीं है?
Explanations:
Download our app to know more Lorem ipsum dolor sit amet consectetur adipisicing elit. Excepturi, esse.
Unlocking possibilities: Login required for a world of personalized experiences.