Which of the following elements has the lowest melting point? निम्नलिखित तत्वों में से किसका सबसे कम गलनांक है?
TB 12 और QY 20 के बीच एक निश्चित संबंध। ML 16 और JI 24 के बीच भी वही संबंध है। समान तर्क के आधार पर, RD 20 निम्न में से किससे संबंधित होगा?
______ test covers the procedure for determining the fineness of cement as represented by specific surface expressed as total surface area in cm²/gm of cement./.............. परीक्षण सीमेंट की सूक्ष्मता निर्धारित करने की प्रक्रिया को कवर करता है जैसा कि सीमेंट को सेमी²/ग्राम में कुल सतह क्षेत्र के रूप में व्यक्त विशिष्ट सतह द्वारा दर्शाया गया है-
Offences like tempering with computer source documents, hacking a computer system and publishing information which is obscene in electronic form are defined in _______ of the Indian IT Act, 2000.
Correctly spelt word is :
हाल ही में 'सागर कवच' एक्सरसाइज का आयोजन कहां किया गया?
गन्ने का सर्वाधिक उत्पादन किस जिले में होता है–
बच्चों की भाषा के आकलन का सर्वाधिक प्रभावी तरीका है -
सरसों अनुसंधान केंद्र कहाँ स्थित है?
जनगणना 2011 के अनुसार, उत्तर प्रदेश के निम्नलिखित में से कौन-से जिले में साक्षरता दर सबसे अधिक है?
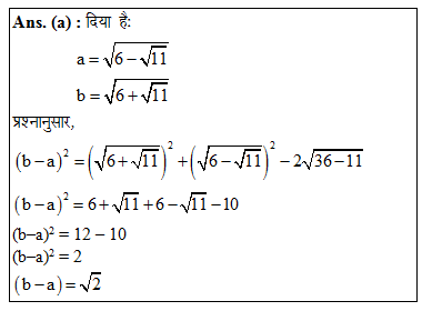
Explanations:
Download our app to know more Lorem ipsum dolor sit amet consectetur adipisicing elit. Excepturi, esse.
Unlocking possibilities: Login required for a world of personalized experiences.