In a certain code language,‘fast and furious’ is coded as ‘bo li ke’,‘quick is furious’ is coded as ‘ke ra ng’ and‘fast but quick’ is coded as ‘ng li ty’.What is the code for 'furious' in that language?/एक निश्चित कूट भाषा में, ‘fast and furious’ को ' bo li ke' के रूप में कूटबद्ध किया जाता है 'quick is furious’ को 'ke ra ng' के रूप में कूटबद्ध किया जाता है और 'fast but quick' को 'ng li ty' के रूप में कूटबद्ध किया जाता है। उसी भाषा में 'furious’ का कूट क्या है?
Who of the following was the President of ‘All Parties Conference’ held in February 1928? फरवरी 1928 में आयोजित सर्वदलीय सम्मेलन के अध्यक्ष निम्नलिखित में से कौन थे?
In which century was the Gupteshwar Mahadev, Charua temple built? गुप्तेश्वर महादेव मंदिर, चरुआ का निर्माण किस शताब्दी में हुआ था?
In the context of state and administration in the Delhi Sultanate, the term 'muqti' means :
परस्पर बातचीत मुख्यत:
तिलियर नामक पर्यटक स्थल हरियाणा के किस जिले में स्थित है?
Which of the following represents the dimensions for an A2 drawing sheet?
Four numbers have been given, out of which three are alike in some manner and one is different. Select the number that is different from the rest. चार संख्याएँ दी गई हैं, जिनमें से तीन किसी न किसी तरह से संगत हैं और एक असंगत है। असंगत संख्या का चयन करें।
A combination of the keyboard and the visual display unit is called a ____. की-बोर्ड और विजुअल डिस्प्ले यूनिट के संयोजन को ____ कहा जाता है?
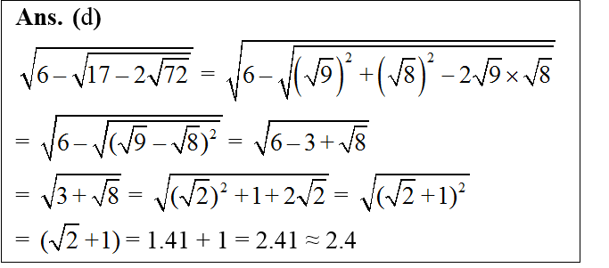
.
Explanations:
Download our app to know more Lorem ipsum dolor sit amet consectetur adipisicing elit. Excepturi, esse.
Unlocking possibilities: Login required for a world of personalized experiences.