Which of the following is known as ohmic conductor? निम्नलिखित में से किसको ओमिक चालक के रूप में जाना जाता है?
"चंद्रयान से चुनाव तक" पहल किसके द्वारा शुरू की गई है?
संयुक्त राष्ट्र जलवायु परिवर्तन सम्मेलन (COP29) का आयोजन कहां किया जा रहा है?
केन्द्रीय हिन्दी निदेशालय ने हिन्दी की मानक वर्णमाला में मूलत: कितनी स्वर और कितनी व्यंजन–ध्वनियों को स्थान दिया है?
ब्रह्मांड का अध्ययन ........ के रूप में जाना जाता है:
'Peacock Conservation Centre' in Uttar Pradesh is located at which of the following places/districts ? उत्तरप्रदेश में ‘मयूर संरक्षण केन्द्र’ निम्नलिखित में से किस स्थान / जनपद में स्थित है ?
A sound wave produced 40 crests and 40 troughs in 0.3 seconds. Find the frequency of the wave.
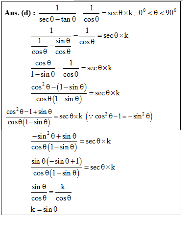
.
Which of the following statement is correct with respect to community? समुदाय के संदर्भ में, निम्नलिखित में से कौन-सा कथन सही है?
In which district of Uttarakhand the 'Nal-Damayanti Tal' is located?/उत्तराखण्ड के किस जनपद में ‘नल-दमयन्ती ताल’ स्थित है?
Explanations:
Download our app to know more Lorem ipsum dolor sit amet consectetur adipisicing elit. Excepturi, esse.
Unlocking possibilities: Login required for a world of personalized experiences.