तीन नल A, B तथा C एक टंकी को क्रमश: 10, 12 तथा 15 घंटे में भर सकते हैं। यदि सभी नलों को एक साथ खोल दिया जाये, तो टंकी कितने घंटे में भर जाएगी?
The main purpose of software is to convert data into/सॉफ्टवेयर का प्राथमिक उद्देश्य डाटा को..........में बदलना है
संत काव्यधारा में सबसे शिक्षित संत कौन थे?
Which of the following ingredients of cement is responsible for the colour? सीमेंट का निम्नलिखित में से कौन सा संघटक रंग के लिए उत्तरदायी होता है?
.
Select the most appropriate option that can substitute the underlined idiom in the given sentence. My father buried the hatchet by equally dividing the pasta between me and my sister
नेक चन्द्र सैनी का सम्बन्ध किससे है?
Which of the following is not a tool of legislative control over administration? निम्नलिखित में से क्या प्रशासन पर विधायी नियंत्रण का साधन नहीं है?
निम्नलिखित में से कौन सा हड़प्पा स्थल हरियाणा में है?
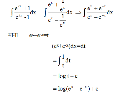
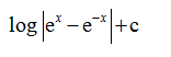
Explanations:
Download our app to know more Lorem ipsum dolor sit amet consectetur adipisicing elit. Excepturi, esse.
Unlocking possibilities: Login required for a world of personalized experiences.