.
बस्तर दशहरा का दस दिवसीय उत्सव भारत के किस राज्य से संबंधित है?
अब्दुर्रहमान चुंगताई सम्बन्धित थे–
Consider the following factors / निम्नलिखित कारकों पर विचार करें। (a) Nature of rock / चट्टान की प्रकृति (b) Method of tunnelling / सुरंग बनाने की विधि (c) Profile of tunnel / सुरंग की रूप रेखा (d) Depth of lift/ लिफ्ट की गहराई Which of the factors stated above effect the quantity of explosives required for blasting? ऊपर बताए गए कारकों में से कौन-सा कारक विस्फोट के लिए आवश्यक विस्फोटकों की मात्रा को प्रभावित करता है?
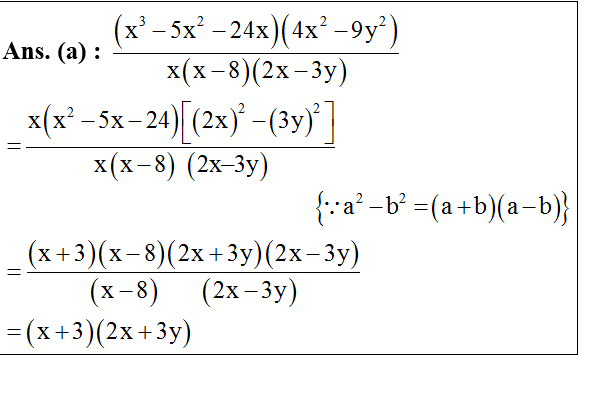
If 60% of (x – y) = 45% of (x + y) and y = k% of x, then 21% of k is equal to:
अनेक शब्दों के लिए एक शब्द के युग्मों में असंगत है:
A train is moving at a speed of 180 km/h. Its speed expressed in m/s is:
Which of the following are the advantages of mercury vapur lamp?/निम्नलिखित में से कौन सा पारद-वाष्प लैम्प का लाभ है–
Brij alone can paint a wall in 7.2 days while Madhu takes 10.8 days to do the same work. Working together how many days will they take to paint 5/6 part of the wall?
Select the option that represents the letters that, when placed from left to right in the blanks below will complete the letter series. उस विकल्प का चयन कीजिए जो उन अक्षरों को निरूपित करता है जिन्हें नीचे रिक्त स्थानों में बाएं से दाएं रखे जाने पर अक्षर शृंखला पूरी हो जाएगी। A_F J L_S U_B D _K
Explanations:
Download our app to know more Lorem ipsum dolor sit amet consectetur adipisicing elit. Excepturi, esse.
Unlocking possibilities: Login required for a world of personalized experiences.