Which part of the Bryophyllum plant develops new plants via vegetative propagation? ब्रायोफिलम पादप Bryophyllum plant) का कौन-सा भाग, कायिक प्रवर्धन के माध्यम से नए पादप विकसित करता है?
निर्देश : नीचे दिए गद्यांश को पढ़कर पूछे गए प्रश्नों (प्र.सं. 325से 333) के सही/सबसे उचित उत्तर वाले विकल्प को चुनिए। उत्तर भारत के संत कवि कबीर और दक्षिण भारत के संत कवि तिरुवल्लुवर के समय में लगभग दो हजार वर्ष का अंतराल है किंतु इन दोनों महाकवियों के जीवन में अद्भभुत साम्य पाया जाता है। दोनों के माता-पिता ने जन्म देकर इन्हें त्याग दिया था, दोनों का लालन-पालन निस्संतान ने बड़े स्नेह और जतन से किया था। व्यवसाय से दोनों जुलाहे थे। दोनों ने सात्विक गृहस्थ जीवन की साधना की थी। तिरुवल्लुवर का प्रामाणिक जीवन-वृत्तांत प्राप्त नहीं होता। प्राय: उन्हें चेन्नई के निकट मइलापुर गाँव का जुलाहा माना जाता है किंतु कुछ लोगों के अनुसार वे राजा एल्लाल के शासन में एक बड़े पदाधिकारी थे और उन्हें वैसा ही सम्मान प्राप्त था जैसा चंद्रगुप्त के शासनकाल में चाणक्य को। उनके बारे में अनेक दंतकथाएँ प्रचलित हैं। जैसे कहा जाता है कि एक संन्यासी नारी जाति से घृणा करता था। उसका विश्वास था कि स्त्रियाँ बुराई की जड़ हैं और उनके साथ ईश्वर-भक्ति हो ही नहीं सकती। तिरुवल्लुवर ने बड़े आदर से उसे अपने घर बुलाया। दो दिन उनके परिवार में रहकर सन्यासी के विचार ही बदल गए। उसने कहा, ‘यदि तिरूवल्लुवर और उनकी पत्नी जैसी जोड़ी हो तो गृहस्थ जीवन ही श्रेष्ठ है।’’ कबीर के दोहों की भाँति तिरुवल्लुवर ने भी छोटे छंद में कविता रची जिसे ‘कुरल’ कहा जाता है। कुरलों का संग्रह उनका एकमात्र ग्रंथ है ‘तिरुवल्लुवर’। तिरुवल्लुरल को तमिल भाषा का वेद माना जाता है। इसका प्रत्येक कुरल एक सूक्ति है और सूक्तियाँ सभी धर्मों का सार है। संपूर्ण मानवजाति को शुभ के लिए प्रेरित करना ही इसका उद्देश्य प्रतीत होता है। जैसे धर्म के बारे में दो कुरलो का आशय है : ⦁ भद्र पुरूषों! पवित्र मानव होना ही धर्म है। स्वच्छ मन वाले बनो और देखो तुम उन्नति के शिखर पर कहाँ-से-कहाँ पहुँच जाते हो। ⦁ झूठ न बोलने के गुण को ग्रहण करो तो किसी अन्य धर्म की आवश्यकता ही न रहेगी। नारी जाति से घृणा करने वाले संन्यासी के विचार तिरुवल्लुर ने कैसे बदले?
In order to forget his cut hand and aching back, Santiago recalls the days when men had called him by the title of
Which is the oldest mountain of South America continent?/दक्षिणी अमेरिका महाद्वीप का सबसे प्राचीन पर्वत कौन-सा है?
If the 5-digit number 688xy is divisible by 3, 7 and 11, then what is the value of (5x + 3y) ?
निर्देश: अधोलिखितं गद्यांशं पठित्वा तदनन्तरं प्रदत्तप्रश्नानां (प्रश्न संख्या 249-257) विकल्पात्मकोत्तरेषु समुचितम् उत्तरं चित्वा लिखत। कस्मिंश्चिदरण्ये वसति स्म कोऽपि सिंह:। पर्वतस्य गुहायां स: दिवा अस्वपत् रात्रौ च वने इतस्तत: परिभ्रमन् पशूनभक्षयत्। कदाचित् प्रभूतमाहारं कृत्वा अयं सिंह: कस्यचित् वृक्षस्य छायायां सुखेन अस्वपत्। तत: बहव: मूषका: बिलात् निर्गत्य सानन्दं सिंहस्य शरीरे अनृत्यन् इतस्तत:। तेन पीडित: सिंह: प्रबुद्ध: अभवत्। तं प्रबुद्धं दृष्टवा पलायन्ते सर्वे मूषका: बिलम्। तेषां कमपि मूषकमगृह्णात् सिंह: करतलेन। तदा स: मूषक: आर्तस्वरेण अवदत् – ‘भो महाराज! त्वं किल पशूनां राजा। प्रसिद्ध: तव पराक्रम:। अहं तु क्षुद्र: जन्तु:। मम अपराधं तावत् क्षमस्व। मां मा जहि। मयि दयां कुरु। कदाचिदहं करिष्यामि तव साहाय्यम्। इति। एतद् तस्य आर्तवचनं श्रुत्वा सिंह: तममुञ्चत्। मूषका: कुत्र नृत्यन्ति स्म?
केंद्र सरकार ने 'लखपति दीदी योजना' के लक्ष्य को बढ़ाकर कितना कर दिया है?
When was the Permanent Settlement introduced by the East India Company?
Which of the following dams is located on the Mahanadi river ? निम्नलिखित में से कौन-सा बाँध महानदी पर स्थित है?
निम्नलिखित में से किस रस का स्थायी भाव ‘रति’ है?
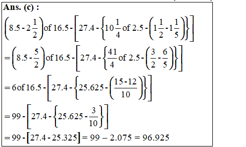
Explanations:
Download our app to know more Lorem ipsum dolor sit amet consectetur adipisicing elit. Excepturi, esse.
Unlocking possibilities: Login required for a world of personalized experiences.